business math workbook answers
PEMDAS word problems 5th grade PDF, these grade 5 order of operations. 11 Pics about PEMDAS word problems 5th grade PDF, these grade 5 order of operations : Cambridge IGCSE¬Æ and O Level Accounting Coursebook, Spelling, Punctuation and Grammar: for Grade 9-1 GCSE Workbook and also Balancing Equations First Grade – One Worksheet / FREE Printable.
PEMDAS Word Problems 5th Grade PDF, These Grade 5 Order Of Operations

pemdas
Anyone Have Any Idea On How To Do This? | Chegg.com

workbook final project anyone idea any acc entries transcribed text adjusting answers
Progress In Mathematics Grade 6
mathematics progress grade
Balancing Equations First Grade – One Worksheet / FREE Printable

worksheetfun equations balancing subtraction equation
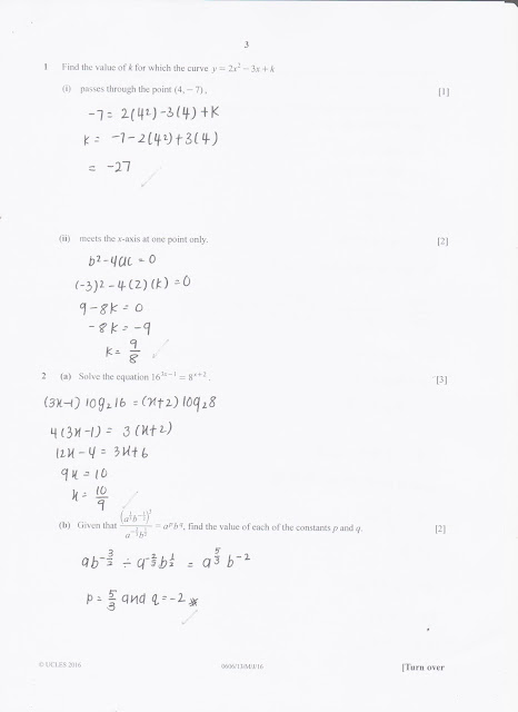
IGCSE Add Maths Working Answers [0606/13] Paper 1 2016 (May/June) - Mr
![IGCSE Add Maths Working Answers [0606/13] Paper 1 2016 (May/June) - Mr](https://1.bp.blogspot.com/-af3-eym4pUQ/WZaQ_2V9BEI/AAAAAAAAAvQ/dUotTXg3DvodHezumKW8F1W7Bd_kBZKBACLcBGAs/s1600/001.jpg)
paper igcse maths answers june working pm
Cambridge IGCSE® And O Level Accounting Coursebook

Cxc Social Studies Past Papers June 2017 - Pastpaperca

cxc csec p032 argumentative
👍 Math Homework 5th Grade. Houghton Mifflin Homework Math Book 5th

5th grade math worksheets multiplication printable sheets decimals worksheet homework sheet pdf division digit ks2 answers decimal multiplying fifth problems
IGCSE Add Maths Working Answers [0606/13] Paper 1 2016 (May/June) - Mr
![IGCSE Add Maths Working Answers [0606/13] Paper 1 2016 (May/June) - Mr](https://3.bp.blogspot.com/-pgEYy92IXwY/WZaQ_xReb3I/AAAAAAAAAvU/lsoPNnLeQUIZaMu31l-oCG4dJTnE_lzeQCLcBGAs/s640/003.jpg)
maths igcse answers working paper june pm
Spelling, Punctuation And Grammar: For Grade 9-1 GCSE Workbook

cgp punctuation workbook spelling
Studylib.net - Essays, Homework Help, Flashcards, Research Papers, Book

studylib biology answers
Studylib biology answers. Anyone have any idea on how to do this?. Pemdas word problems 5th grade pdf, these grade 5 order of operations